按Enter到主內容區
:::

民國38年以前國家重大發展:抗日戰爭

  二十世紀的中國變化巨大,辛亥革命掃除二千年的帝制,建立共和體制,傳統家族逐漸崩解,男女漸臻平等,人口往城市集中,西方思潮自五四運動以來席捲整個中國。民國以來戰爭不斷,民國初期軍系戰爭,民國17年(1928)12月北伐統一後爆發中原大戰。國共之間自「清黨」以來也爆發許多衝突,除內部交戰之外,外受侵擾,特別是日本的侵略,民國20年(1931)發動「九一八」事變,12月底佔領整個東北,民國21年(1932)發動「一二八事變」。
民國26年(1937)7月7日,日軍在北平附近盧溝橋演習夜戰,日本藉口一名士兵失蹤,要求進入宛平縣城內搜查,北平市長秦德純不同意,日方進攻宛平縣,國軍守軍團長吉星文率所部官兵奮起抵抗,史稱「盧溝橋事變」,或「七七事變」。事變發生後,蔣中正委員長17日在江西廬山發表嚴正聲明:「中國希求和平而不求茍安,準備應戰而不求戰。中國的基本立場是:主權與領土的完整,不容侵害。」8月13日,日軍發動淞滬戰爭,中國全面抗戰正式開始。 自日本發動「七七事變」之後,中國全面抵抗,發生二十二次大型會戰,重要戰鬥一千餘次,軍民犧牲甚大,財產損失之鉅空前未有,日本在南京的大屠殺行為更為世界所不恥,憑著蔣中正抗戰到底的決心與全民堅毅的抗戰精神,美國在民國30年(1941)12月8日珍珠港事變後投入遠東戰局,在盟國的努力下,日本於民國34年(1945)8月15日宣布無條件投降。
抗戰是民族存亡的大事,中國人顛沛流離,民國26年(1937)10月底,長江下游有一百三十多萬難民,在戰爭破壞下斷垣殘壁,也有一些成果值得重視。抗戰期間政府機關、工商企業與人民被迫往西南、西北地區,奠定後來發展的基礎,大學大規模的向西南遷移,在窮鄉僻壤胼手胝足,徹底改變中國大專院校分佈不均的問題。大批大學師生與文化界的移入,豐富內陸的文化。
抗戰時期各界的表現更令人激賞,全民抗戰不再是口號,當時大多數人共體時艱,宋美齡等發動婦女為前線的官兵縫衣,西南聯大發起「一角錢施粥運動」,更多人無私的捐獻,也有熱血年輕人組成的「青年遠征軍」投往戰場;臺籍的李友邦、翁俊明、丘念台、謝東閔等人也都投入抗日活動行列。
中國的國際地位是抗戰期間另一值得關注問題,自太平洋戰事發生後,蔣中正成為遠東戰區總司令,民國32年(1943)1月11日,中英、中美簽訂新約,廢除不平等條約是孫中山遺願,中國忝為世界五強之列,自然值得肯定。 本次研究計劃案,將時間斷限設定在抗日戰爭期間(民國26年至34年),利用國家發展委員會檔案管理局所典藏之國防部史政編譯局、外交部、教育部、行政院、內政部等單位之國家檔案,從中挑選相關之重要檔案史料,以「重要戰役與軍事勤務」、「對外關係」、「烽火歲月下人民的困頓與因應」、「救亡圖存下的文教」、「非常時期下的國內政局」等五大次主題,各次主題下又再細分為若干重點以進行研究撰寫。

中美特種技術合作所

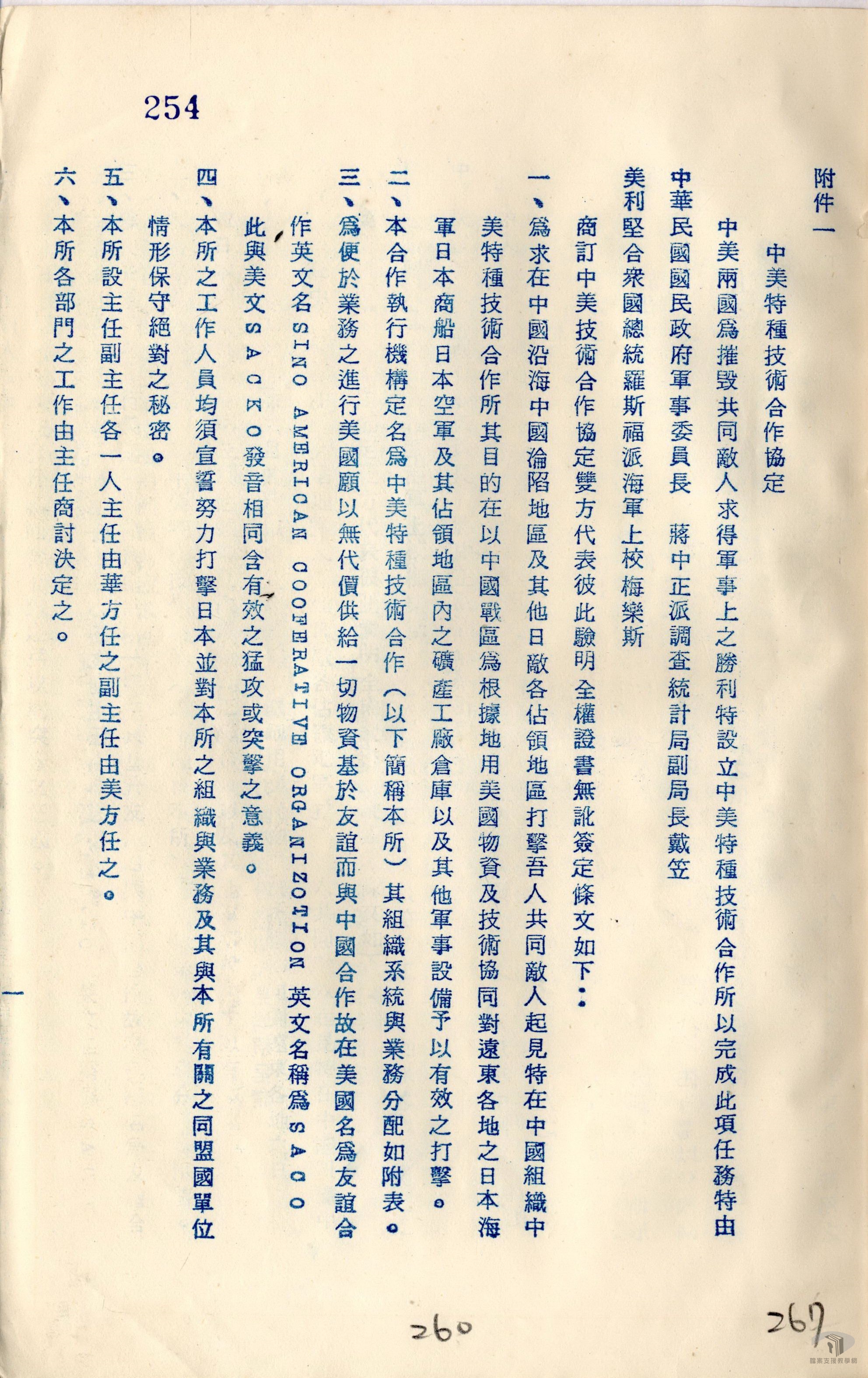
  中美特種技術合作所(Sino-American Cooperative Organization ,SACO),亦稱為中美技術合作所、中美合作所,是美國加入第二次世界大戰後,為了掌握日本電報、氣象、地理等各項軍事情報,藉我國地利之便,與我國政府合作,建立的一個軍事情報機構,以提供兩國日本相關軍事情報。
中美特種技術合作所於民國32年(1943)4月15日成立於重慶,民國35年(1946)1月結束。我方隸屬於軍事委員會,實際負責人為戴笠;美方則隸屬於美國海軍部及美國戰略局,實際負責人為梅樂斯。
這個單位直屬於中、美兩國最高軍事統帥,下設爆破組(製造、特種工作、訓練、設計指導)、偵譯組、技術組(氣象、攝影)、情報組、通訊組、總務組等分組。此單位人員因特種軍事業務之需求,故人員遍布國內以及海外(如朝鮮、安南、緬甸、泰國等地),從事各項情報收集以及破壞地方組織的行動。