按Enter到主內容區
:::
主題
檔號 A315800000M/0083/營36/000001/0001/080
案名 行動電話業務(含其特別業務)
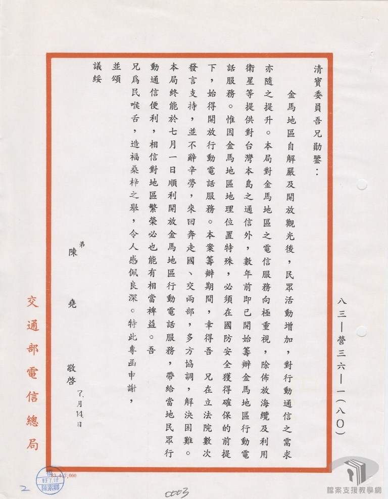
案由 陳清寶委員:金馬地區自解嚴及開放觀光後,民眾活動增加,對行動通信之需求亦隨之提升。
事件年 民國83年(1994)
課綱條目
檔案資源編號 4.8.5-5
來源機關 中華電信股份有限公司
檔案管有機關 國家發展委員會檔案管理局
申請其他國家檔案 請連結國家檔案資訊網辦理申請
說明

民國83年(1994)7月9日,交通部電信總局致函陳清寶立委感謝其多方奔走,金馬地區自解嚴及開放觀光後,對行動通信之需求亦隨之提升,本局終能在83年(1994)7月1日順利開放金馬地區行動電話服務。

關鍵詞
相關檔案