按Enter到主內容區
:::
檔案支援教學網
主題瀏覽
導讀臺灣地圖
地圖的特質
嚴密的數學法則運算
科學與美學綜合編製
集合符號文字與色彩
地圖的要素
圖名
地名
方位
比例尺
圖例
顏色
特殊文字
地圖的功用
國防軍事資料
經濟產業開發
教學研究指引
生活實際應用
臺灣全覽圖
地質礦產
氣候雨量
行政區域
陸路交通
港口機場
郵政電信
國際情勢
地理分布
各縣市地圖
基隆
臺北
新北
桃園
新竹
苗栗
臺中
彰化
南投
雲林
嘉義
臺南
高雄
屏東
澎湖
臺東
花蓮
宜蘭
金門
馬祖
各類型地圖
地形圖
地質圖
位置圖
分布圖
平面圖
剖面圖
現況圖
設計圖
計劃圖
示意圖
路線圖
佈置圖
市街圖
市區改正圖
都市計畫
要圖
略圖
威權統治時期的校園師生受難者
威權統治時期的校園
國歌
國旗(一)
國旗(二)
國父遺像與總統肖像(一)
國父遺像與總統肖像(二)
操場
壁報
軍訓與教官
中國青年反共救國團
師生行動
組織武裝部隊(一)
組織武裝部隊(二)
組織武裝部隊(三)
罷課(一)
罷課(二)
參與學生自治
讀書(一)
讀書(二)
議論時政
師生遭遇
失蹤(一)
失蹤(二)
感化
遇害(一)
遇害(二)
失去教職
學業中輟
遭到監控
因刑求而患病
流亡他處
受難者身影
臺北市城中區福星國民學校教員陳勤
臺中縣大肚鄉大肚國民學校教員張金杏
臺灣省立新竹中學學生周賢農(一)
臺灣省立新竹中學學生周賢農(二)
臺灣省立臺北成功中學學生楊國宇(一)
臺灣省立臺北成功中學學生楊國宇(二)
臺灣省立高雄水產職業學校學生簡中生(一)
臺灣省立高雄水產職業學校學生簡中生(二)
臺灣省立成功大學化工系學生陳欽生(一)
臺灣省立成功大學化工系學生陳欽生(二)
臺灣省立成功大學化工系學生陳欽生(三)
臺灣省立成功大學化工系學生陳欽生(四)
卡內基美隆大學統計系助理教授陳文成
國立清華大學歷史所學生廖偉程(一)
國立清華大學歷史所學生廖偉程(二)
威權統治時期的女性政治受難者
以參加叛亂組織判刑的「政治犯」
參與臺北市司機工會的女性
任職於郵局的女員工
參與讀書會的女性
臺北工作委員會的女性參與者
被捲入麻豆支部案的女性
臺中工委會的婦女支部
參與光明報與印發左翼書刊的女性
中國共產黨女黨員在臺灣的活動
因交遊、言行等受牽連的「政治犯」
藝文界的蔡瑞月與崔小萍
黃秋爽與黃秋笙姊妹
出國經商的女商人徐美
「資匪」的女性
「隱匿」丈夫的妻子們
被列為「可疑分子」的女性
鹿窟案中的婦女
國家暴力的場域
關押與偵訊地:國防部保密局與警務處刑警總隊
關押與偵訊地:臺灣省保安司令部保安處看守所
審判地:臺灣省保安司令部軍法處與軍法處看守所
刑場
服刑地:臺北監獄與臺南監獄
服刑地:綠島新生訓導處女生分隊
生產教育實驗所(後改為仁愛教育實驗所)
獄中的生活處境
獄中陳情與上訴
通信與家人援助
生產
保外就醫
醫療照護
強制勞動
「綠島新生訓導處再叛亂案」
開釋與出獄
威權統治時期的臺灣禁歌
各種查禁律令
戒嚴法
戒嚴令
新聞紙雜誌圖書管理及管制辦法
出版法
廣播管制規則
各種查禁手法
歌曲審查機制
查禁歌曲名錄
查禁違規唱片
電臺監聽管控
歌手禁唱禁歌
縣市政府協查
各級學校協查
查禁中共相關歌曲
義勇軍進行曲
漁光曲
漁舟唱晚
唱出一個春天來
讀書郎
紅太陽
不得影響民心士氣
苦酒滿杯
鐵樹開花六十年
月落烏啼
讓孩子們回家
我恨你恨到底
查禁日本相關歌曲
媽媽我也真勇健
支那之夜
蘇州夜曲
何日君再來
滿州娘
查禁涉及情感歌曲
鹽埕區長
熱情火燒埔
三輪車上的小姐
咱的家鄉美麗島
臺灣大建設時期的發展與轉折
開發東部 打造北迴鐵路黃金路線
北迴線動工 始於資源開發
克服隧道工程 全線順利通車
載客運貨日增 再造新工程
潮汐工法 關渡大橋的傲人絕技
籌建鋼繫拱橋 調整大臺北面貌
獨創潮汐工法 備受國際矚目
大橋車流不息 優雅矗立成地標
過港隧道 高雄港擴建計畫關鍵
搭上貨櫃化浪潮 過港隧道來串聯
採用沉埋管法 完成過港隧道工程
從隧道到貨櫃中心 提升高雄港貨運量
思考保育 新中橫公路的難題
開發中央山脈 新中橫公路先行
保育與開發孰重?玉山-玉里線緩辦
新中橫還路於自然 國際組織肯定
萬獸齊FUN 臺北市立動物園為什麼搬家?
都市環境影響動物 新址落居木柵
地理分區配置動物 依山而建造就原生環境
史上首次動物大搬家 保育教育觀念扎根
臺灣金銅礦務產業的發展與變遷
日照金瓜石!
金與銅:山裡潛藏的光芒
礦工:懷著希望前來的人們
早安,臺金公司!
臺金公司:承先啟後新任務
畫筆下的礦業知識
地質:大地的紋理
坑道:龐大的地下世界
眾人協力點石成金
五坑坑口:礦場的核心
運輸系統:礦場的手與腳
散步生活金礦山
公司福利照料員工生活
為礦業而生的市街
國家檔案重現礦山記憶
絢麗歸於樸實
臺灣鹽業的發展與變遷
鹽來如此—從與天搶鹽說起
鹽田地景—臺灣曬了338年的鹽
看天吃飯—與天搶鹽的心情
曬鹽產製—曬鹽的箇中滋味
妙不可鹽—從生理到工業
農漁食品—調味之外的多元用途
生命之鹽—缺鹽 萬萬不可
工業用鹽—國家強盛指標
鹽味人生—那些曬鹽與鹽工的故事
曬鹽印記—從接收到國營獨占
鹽業轉型—從傳統到現代化機械鹽灘
鹽工群像—鹽分地帶的生活日常
萬語千鹽—從廢曬到重生的歷程
全球競爭—臺灣鹽業轉骨
鹽續利用—喚回臺灣曬鹽記憶
臺灣衛生醫療體系的建置與發展
傳染病的防治
鼠疫
霍亂
瘧疾
結核防治
防癆業務
砂眼
蛔蟲
小兒麻痺
天花
性病
傷寒
頭蝨
卡介苗
X光巡迴檢查車
公共衛生的建設
寄生蟲
烏腳病
國民營養
RCA事件
家庭計畫
民俗醫療
食品衛生
精神病照護與管理
婦幼衛生
癌症
DDT
救護訓練
傳染病防治
藥品生產與銷售
公共廁所之建立
環境汙染
口腔衛生
預防接種
環境衛生
醫政與藥政
行政院內政部衛生署(司)
臺灣省政府衛生處
縣市衛生院
衛生所與衛生室
傳染病院
療養院
藥籤
中藥商
藥用酒精
藥酒管理
美國醫藥助華會
中國農村復興聯合委員會
口服液
外用藥
濟眾水
中國紅十字會
世界衛生組織
毒品管制
藥商管理
樂生療養院
國防部軍醫局
中醫師檢覈
醫事人員任用法令
軍醫院
臺灣省血清疫苗研究製造所
臺灣省瘧疾研究所
臺灣省家庭計畫研究所
醫護教育與衛生教育
國防醫學院
國立臺灣大學醫學院
護士訓練
助產士
助產士的興衰
育嬰教育
國立臺北護理學院
學校衛生教育
健康教育
工業安全衛生教育
大事年表
臺灣民生產業的發展與變遷
臺灣民生產業發展政策
戰後接收日資企業
進口替代的民生產業
出口導向工業化時期的民生產業(民國55-62年)
中小型企業的輔導政策
工業新產品示範展覽會
勞力密集的生產
創立科學園區
飲料和食品的加工製造
飲料業
本土飲料業的發展
國外飲料的引進
酒類製造與研發
茶業的發展
畜牧與酪農業發展
畜牧原為農村的家庭副業
畜牧競賽與防疫工作
臺糖畜產研究所的成立與營運
乳製品的生產與銷售
畜產資源的開發
酪農業的發展
肉品屠宰加工
飼料的研發與生產
水產養殖捕撈
食品工業
食品製造的衛生管理
美援與麵食推廣
傳統麵食點心
調味料加工生產:味精、醬油、糖
糖果、零食的生產
罐頭食品
冷凍食品
食品加工的人才培養
紡織業與皮革塑膠生產
紡織業的發展
紡織原料的取得
中國的紡織業在臺復業
二戰後成立的紡織廠
紡織業勞動情形
紡織機械的自給生產
人造纖維織品問世
紗錠成品與旗袍服飾
皮革與塑膠工業
皮革加工工廠作業情形
皮革製品研發與展覽會
推動豬皮製革
玩具生產與外銷
雨傘製品與外銷
退輔會工廠與學校建教合作
營造原料與住宅的興建
建材原料供給
自給營造原料
興盛的合板製造業:以林商號合板公司為例
戰後各業對水泥之需求
臺灣水泥公司的榮景
戰後成立的民營水泥製造廠
製磚業及其產品
室內裝修的家具物料
從蔗渣到蔗渣板的應用
製瓦、石灰加工與木工廠等小型工廠
興建住宅
美式建築工法引進農村:高壓手工製磚機
美援與勞工住宅的興建
基隆、高雄的碼頭勞工新村落成
內政部鹽工礦工住宅籌建委員會落成鶯歌礦工住宅
都市建設與興建國民住宅
交通工具與運輸業變革
各式交通工具之製造
自行車的製造
汽車的製造
鐵路車輛的製造
交通工具的轉換:從三輪車到計程車
客貨運的發展
客貨運的發展
海運的發展
技術勞動力的供給
車輛零件的製造與修車人才培養
臺中高級工業職業學校的汽車維修建教合作
休閒娛樂與民生百貨業
育樂活動
暑期休閒娛樂活動
廣播與收音機
新聞雜誌與書報攤
高品質的印刷工業發展
國內觀光業的興起
舞蹈業與街頭賣藝者
電視臺的出現
民生消費
大型商場的出現:中華商場
百貨業的發展
衛生清潔用品
家電商品
大事年表
臺灣交通網絡之建設與影響
鐵路與軌道運輸
戰後接收與人才訓練
規劃環島鐵路
南、北迴鐵路效益評估
建設北迴鐵路
南迴鐵路
鐵路機車
鐵路電氣化
都市發展與鐵路車站整建
維護鐵路交通安全
平交道事故與分析
阿里山森林鐵路
太平山森林鐵路
糖業鐵路
糖鐵南北平行預備線
都會區捷運建設
臺北市鐵路地下化與都會新風貌
高速鐵路建設與島內一日生活圈
鐵路旅遊與觀光列車
公路建設與交通
改善省道鋪設柏油路面
公路整體改善計畫
興建北部橫貫公路
興建中部橫貫公路
規劃南部橫貫公路
興建南部橫貫公路
建設南北高速公路
高速公路選線與建設林口新市鎮
高速公路竣工
國道客運問題
興建福爾摩沙高速公路帶動沿線發展
擴建蘇花公路
公路客運與民生發展
公路客運運價
改良花東公路
交通建設與東部發展
公路旅遊促進觀光產業
海運發展
戰後臺灣海運恢復工作
戰後臺灣海運規劃
維持戰時民用海運
海事糾紛
國際海運公約
國際海事組織
兩岸海運
港口檢疫
輪船招商局
陽明海運
港灣建設
基隆港
蘇澳港
臺中港
高雄港
海事通信
航空建設
戰後臺灣航空接收
戰後臺灣飛機場
民用航空管理機關
國際民航組
外籍航空器入境
航站建設
松山(臺北)國際機
中正(桃園)國際機場
高雄(小港)國際機場
飛航安全
劫機事件
航空檢疫
航空郵運
國際航線
兩岸航線的恢復
中華航空公司
長榮航空公司
復興航空公司
水上飛機
大事年表
臺灣農工業發展與轉型
農業建設與發展
農業人才運用
四健會與農村人才訓練
肥料生產應用
山坡地保育
家禽及家畜防疫計畫
興辦飼料工廠
舉辦農事競賽
山地農事推廣
選拔傑出農民
鼓勵農村青年創業
農業貸款
天然災害救濟
農機製造與維修
農技改良與輸出
農作研發
補助購置新式農機
水產改良
畜產改良:牛隻
國際農村青年交流
農業推廣教育
農村家政改良
農技輸出:中、南美洲
農技輸出:非洲
病蟲害防治
鼠害防治
農產品運銷
農會組織辦法
農會組織:理事會
農會組織:農事小組
農產運銷
農產契作
開辦電氣化屠宰場
發展休閒農業
農產品展覽會
糖產外銷
洋菇外銷
第一次進口替代與出口擴張時期
以農業培養工業:「田賦徵實」、「肥料換穀」政策
技術官僚與計畫經濟
限制進口措施
運用美援資源
扶植民營企業
發展進口替代工業
十九點財經改革措施
設立加工出口區
「客廳即工廠」:鼓勵家庭代工
爭取越戰物資在臺採購
第二次進口替代時期
第一次石油危機的衝擊
十大建設:能源
十大建設:鐵路與公路
十大建設:機場與港埠
十大建設:重工、化學產業
第六期經建計畫
六年經建計畫
十二項經建計畫
十四項建設
產業升級與自由化、國際化
第二次石油危機的衝擊
普及通訊設施
發展資訊工業
解除外匯管制
大幅調降關稅
放寬進口管制
放寬投資管制
改善銀行環境
國營企業民營化
強化美國貿易夥伴關係
強化日本貿易夥伴關係
拓展歐洲經貿往來
發展中國大陸經貿往來
參加亞太經濟合作組織
從GATT到WTO
參加亞洲開發銀行
大事年表
民國34年至87年臺灣議會與地方自治發展
地方自治事業的開展
地方自治的研議
縣地方自治三年計畫
倡議設立臺灣省地方自治協會
臺灣省地方自治協會成立
臺灣省地方自治研究會委員
省地方自治協會辦事細則
臺灣省地方自治協會分會
召開各縣市長、參議會議長與中學校長會議
籌劃推動地方自治
研議地方自治實施步驟
臺灣省各縣市實施地方自治綱要草案
爭取設立職業團體民意代表
慶祝地方自治周年活動
改善地方自治財政
臺灣省參議會與省政
臺灣省參議員選舉
選舉山地區域省參議員
成立臺灣省參議會
臺灣省參議會的行政運作
制憲國民大會臺灣代表的選出
二二八事件的衝擊
對二二八事件之重視
中央政府播遷來臺
臺灣省實施戒嚴令
協助海外臺胞回籍
保障農村經濟
建議政府儘快實施地方自治
臺灣省參議員山地訪問團
審議臺灣省政府財政
臺灣省參議會審查省單行法規
臺灣省議會與省政
地方政府與地方自治
縣各級組織綱要
各縣市行政區調整草案
成立臺灣省政府
省轄市政府組織
縣政府組織規程
縣政府所屬機關:民國42年花蓮縣
區公所組織章程
區長任免辦法
縣府區署鄉鎮公所人員編制
區署裁撤問題
山地鄉村組織
軍民合作站業務
國民大會建議升格臺北縣為直轄市
國民大會建請中央落實地方自治
地方議會與地方自治
成立鄉鎮民代表會
成立區民代表會
縣市參議員選舉
成立縣市參議會
參議員罷免
臺中市參議會議事規則
臺中市議會議事規則暨大會旁聽規則
爭取交通建設
鄉鎮民代表資格限制
基層民意機關印信
地方自治基層組織
戶長會議與鄰長選舉
鄰長會議
推行村里民大會
村里民大會年度工作計畫
村里民大會概況
村里民大會政治訓練
村里民大會督導
鼓勵公務員出席村里民大會
村里鄰長講習
基層機關的困境
大事年表
民國34年至70年臺灣經濟發展
日本投降與遷臺初期的經濟問題
臺灣省行政長官公署成立
取締私菸
物價膨脹
龐大軍事支出
民生物資不足
失業問題
金融機構效能不彰
改組臺灣銀行
發行臺幣兌換券(舊臺幣)
接收日人私產
民間動亂
金圓券收兌
發行新臺幣
臺灣對日貿易
糧產不足
禁止進口事項
中央銀行遷臺
大量中國大陸地區人民來臺
難民收容及其影響
重振臺灣經濟
美援的重要性
減輕農民地租壓力
接收鐵路
重整農工企業
統一發票的創設
水產事業
機械公司
肥料產業
水泥產業
造紙產業
臺灣工礦股份有限公司
臺灣土地銀行的成立
電力建設
糖業發展
公地放領政策
耕者有其田政策
組成合作社
畜牧事業
公賣制度
加強農會功能
臺灣菸酒產業
高粱酒的生產
研製酒精汽油彌補汽油短缺
打撈沉船事業
遏阻中國大陸商品入臺
輔導國軍就業
農業復員計畫
軍需工業襄助經濟
清算與標售日產
麵粉工業
實物配給
公營事業與軍方的合作
推動貿易
改建高雄港
關稅及貿易協定擬加約國減稅談判
臺鹼公司
水泥外銷
設置農業機械化基金
自製農業機械
合作金庫運作
臺日財物貿易協定
開拓臺澳貿易
美人在臺投資
日本在臺投資
與南越貿易情形
與馬來西亞的經濟合作
中沙經濟合作
中韓經濟合作
中泰經濟合作
對菲律賓貿易
味精運菲案
各種貨物稅法
未稅洋菸酒及專賣利益補充辦法
電信設施營建
食品工廠的建設
碼頭興築
改進海關業務
參加美中經濟協會
海外貸款
貨物輸美
臺鹽公司
各種企業民營化措施
石油廢氣供應產業
開採雲母
開採硫磺
產業轉型
獎勵投資條例
美援終止
中美發展基金計畫
菸葉供需與發展
發展重化工業
第一次石油危機
第二次石油危機
國際關稅貿易暨總協定
亞洲開發銀行
聯合國亞洲暨遠東經濟委員會
技術合作條例
省營事業長中程計畫
大理石產業
唐榮鐵工廠
中興工程公司
加速經濟發展計畫
國際技術合作
國家六年經建計畫
亞洲電子會議
二次進口替代
第二次出口擴張
推動大型工程
設立加工出口區
加工出口區業務延攬
興建核能發電廠
扶植電子產業
扶植塑膠與化學工業
發展國產汽車工業
國防工業
發展精密儀器
鼓勵化學工業
十年經建計畫
鐵路電氣化
大造船廠與承造油輪
大煉鋼廠
中正國際機場
新竹科學園區
大事年表
民國38年以後臺灣政治發展
中央政府遷臺
動員戡亂時期臨時條款
故宮文物遷臺
陳誠與遷臺準備
太平輪事件
實施戒嚴
革命實踐研究院
政府遷臺
蔣中正復行視事
海南島大撤退
舟山群島大撤退
中國國民黨中央改造委員會
戰地政務實驗區
臺灣國際地位的確立
臺灣地位未定論
開羅宣言與波茨坦宣言效力
日本投降與降書
臺灣海峽中立化
舊金山和約
中日和平條約
中美共同防禦條約
聯合國席位的確保
反共抗俄
封鎖共區
遷臺初期軍事衝突
中國大陸災胞救濟總會
中華婦女反共〈抗俄〉聯合會
中國青年反共救國團
反共宣傳
反共教育
反共義士
緬境國軍撤臺
救濟港九難胞
一江山戰役與大陳撤退
八二三砲戰
戒嚴體制的建立
刑法第100條
國家總動員法
戒嚴令
戒嚴時期之相關管制辦法
懲治叛亂條例
臺灣省保安司令部
戡亂時期檢肅匪諜條例
戰時軍律
感訓處分
動員戡亂時期檢肅流氓條例
動員戡亂時期國家安全法
戒嚴體制下的白色恐怖
廖文毅案
李友邦案
四六事件
林瑞昌、高一生、湯守仁案
吳石案
臺中武裝工委會案
鹿窟事件
吳國楨事件
孫立人案
雷震案
蘇東啟案
彭明敏案
李敖案
臺大哲學系事件
中壢事件
美麗島事件
鄭南榕案
二二八事件處理及賠償條例
白色恐怖案件平反與賠償
戒嚴體制下的社會
黨化教育
報禁
新聞管制
推行國語
禁書
限制言論自由
思想統制
禁歌
黨禁
警察治安的控制
選舉與地方自治
地方自治的研議
縣市議員選舉
縣市長選舉
臺灣省議會的成立
增額國民大會代表選舉
增額立法委員選舉
公職人員選舉罷免法
地方自治二法
省長選舉
總統副總統選舉罷免法
精省與凍省
臺灣省諮議會
地方制度法
選舉制度
選舉文化
民主運動與憲政改革
雜誌論政-自由中國雜誌
雜誌論政-文星雜誌
雜誌論政-臺灣政論
黨外運動
終止動員戡亂時期
解嚴
國會全面改選
總統直選
公民投票法
海外異議人士
憲法增修條文
集會遊行法
新聞及言論自由
臺獨運動
外交關係(國際關係)
琉球歸屬問題
南海主權問題
自由中國號事件
劉自然事件
周鴻慶事件與對日關係
保釣運動
對非洲國家的農經援助
經技合作與海外技術合作委員會
退出聯合國前後斷交效應
退出聯合國
與美國斷交
務實外交
兩岸關係
開放探親
國家統一委員會
行政院大陸委員會與大陸政策
海峽交流基金會
國家統一綱領
臺灣地區與大陸地區人民關係條例
辜汪會談
三通
大事年表
民國38年以前國家重大發展:抗日戰爭
重要戰役與軍事勤務
盧溝橋事變
淞滬會戰
忻口戰役
長沙會戰
冬季攻勢
浙贛會戰
鄂西會戰
常德會戰
國軍作戰階段
中國遠征軍
中國駐印軍
抗戰海軍
游擊戰
忠義救國軍
國民政府軍事委員會
軍事委員會委員長行營
國民政府軍事委員會軍訓部
國民政府軍事委員會調查統計局
〈中美特種技術合作協定〉
中美特種技術合作所
戰時軍事教育
戰時馬政
征屬優待
傷兵與救護
榮譽軍人
傷兵之友社
傳染病與疾病
中國戰區受降
戰後傷患遣返
臺灣省收復計畫
對外關係
中日關係
爭取外援:國際聯盟
爭取外援:蘇聯
爭取外援:美國
爭取外援:英國
戰時外交部行政計劃
德黑蘭會議
魁北克會議
中國輿論對雅爾達協定的反應
波茨坦會議
戴傳賢訪問印度
蔣中正訪問印度
美副總統華萊士訪華
越南禁運
開拓中印緬航線
緬甸禁運限運
中印公路
美國援華聯合會
美國僑界支援抗戰:一碗飯運動
國際紅十字會
平等新約的簽訂
四強宣言
中國參與設立聯合國戰罪調查委員會
建立聯合國的構想
聯合國國際組織會議
烽火歲月下人民的困頓與因應
金融管制:防範敵方軍用票與偽法幣
經濟管制:禁運貨品
調查敵人戰罪
統一獻金管理
敬軍運動
戰時軍人婚姻
物價上漲
長沙大火
保護旅日華僑
救濟歸僑
勞軍運動
節約建國儲蓄運動
實施平等新約
徵募寒衣
戰爭難民
戰時朝鮮僑情
戰時臺灣僑情
購債運動
難民救濟
難童收容教養
獻債運動
獻機運動:忠義獻機
獻機運動:祝壽獻機
救亡圖存下的文教
中央研究院
中央博物院籌備處
中央圖書館
文物西遷
文化交流:參與孟買國際文化展覽會
陪都重慶的社會教育
戰時考古工作
童子軍運動
戰時反宣傳
戰時兵役宣傳
戰時教育
戰時電影
戰時歌曲
戰時漫畫宣傳
戰時廣播
戰時學生運動
聯合國教科文組織的建立
非常時期下的國內政局
抗戰建國綱領
三民主義青年團
中央政治委員會
中央訓練團
中央設計局
生產建設公債
行政院善後救濟總署
西南邊區的國防經濟開發
汪精衛政權
查禁敵貨
軍事委員會戰時經濟督察團
重慶陪都建設計劃委員會
陝甘寧邊區政府
國民大會籌備委員會
國民政府組織法修正
國民參政會
國民精神總動員
國民精神總動員會
國防最高委員會
國防最高會議
徵兵制度
戰地黨政軍組織
戰時的中國共產黨問題
戰時新疆問題
戰時警政教育
大事年表
臺灣戰後初期的接收與治理
在華臺灣抗日團體有關臺灣訴求
臺灣革命同盟會的成立與運作
收復臺灣5項意見
中央對收復臺灣5項意見之回覆
呈請設立臺灣省政府
中央對設立臺灣省政府之回應
閩粵臺灣歸僑協會的成立與訴求
成立經過
光復臺灣4項意見
臺灣接收工作
接收規畫
收復臺灣意見書
臺灣調查委員會
臺灣列入中國戰區
收復臺灣計畫要點
臺灣省收復計畫大綱
臺灣省佔領計畫
軍事接收
臺灣省警備總司令部
成立前進指揮所
國軍登陸臺灣
備忘錄遞交儀式
臺政字第一號備忘錄
臺軍字第一號備忘錄
中國戰區臺灣省受降儀式
軍字第一號
臺灣地區軍事接收委員會
軍事機關接收
軍事要塞接收
軍事物資接收
行政機關接收
接收臺灣總督府
臺灣總督府警務局接收
臺灣省州廳接管委員會
鄉鎮接收
日產接收
監理到接管
日產處理委員會
銀行接收
日資企業接收
日僑遣送與日俘遣返
臺灣省日僑管理委員會
留用日籍技術人員
日僑遣送
日俘遣返
戰後初期的行政措施與政治事件
從臺灣省行政長官公署到臺灣省政府的建立
臺灣省行政長官公署工作計畫
臺灣省行政長官公署政務會議
臺灣省政府的成立
臺灣省政府施政方針
國籍恢復與臺人返臺
國籍恢復
回復臺籍姓名
海外臺民返臺
臺籍日本兵返臺
警戶役政的建立
義勇糾察隊
義務警察隊
警察訓練所
查報戶口異動聯繫
戶籍登記
核發身分證
役政訓練
兵役徵集
行政區域的調整
臺灣省省轄市組織暫行規程
臺灣省縣政府組織規程
縣市行政區域重劃
鄉鎮行政區域重劃
地方自治
鄉鎮公所
鄉鎮民代表會
區公所
省轄市區民代表會
縣市參議會
臺灣省參議會
省縣自治通則
地方自治3年計畫
二二八事件
二二八事件原因
二二八事件處理委員會
整編第二十一師登陸
清鄉
白崇禧蒞臺調查
晉用臺灣人
善後處理
事件檢討
戰後初期的經濟整建
產業整建
經濟建設計畫
公營事業
工業整建
公共汽車業
水產業
都市計畫
農會改組
合作事業
造船產業
美援挹注
公用事業的建設
國民義務勞動
臺灣郵政管理局
石油事業
電力發展
鐵路修建
自來水事業
財金體系的建立與幣制改革
物資缺乏與通貨膨脹
物價查報
外匯管理
成立縣市稅捐稽徵處所
專賣制度的實施與改進
發行愛國公債
發行新臺幣
土地改革
土地登記制的確立
三七五減租
戰後初期的社會發展
公共衛生
醫療設施的接收
防治傳染病
成立衛生院
增設醫院
普設衛生所
社會救濟
救濟院
臺灣省立習藝所
育幼院
臺灣省立婦女教養所
冬令救濟
失業救濟
教育發展
高等教育機構的接管
省立臺北工業專科學校
6年國民義務教育
學校師資培育
省縣市運動會
第四次全國教育會議
官方宣傳與文化活動
臺灣革命先烈事蹟宣傳
國語推行運動
新生活運動
查禁書刊
國民反共公約
電影宣傳
大事年表
民國38年以前國共兩黨的合作與衝突
抗戰前的剿共
容共政策之結束
寧漢分裂與清黨
南昌暴動與共軍建立
各地暴動
剿共展開
第一次剿共
剿共軍戰鬥編制
東固戰役
龍岡戰役
第一次剿共失利的影響
第二次剿共
剿共軍戰鬥編制
東固附近作戰
東韶附近作戰
第三次剿共
左翼集團軍作戰
右翼集團軍作戰
廣東事變與寧都事變
中華蘇維埃共和國成立
贛州戰役
漳州戰役
第四次剿共
贛粵閩邊區剿匪總司令部設立
金谿附近地區作戰
蛟湖、霍源附近地區作戰
東陂附近地區作戰
左、右路軍及獨立部隊支援作戰
第五次剿共
剿共組織編定
碉堡戰術
經濟封鎖策略
初期北路軍作戰
閩變
閩變後北、東兩路軍聯合作戰
西、南兩路軍作戰
第五次剿共結束
豫鄂皖剿共
豫鄂皖三省剿匪總司令部設立
霍邱戰役
獨山、麻埠戰役
金家寨戰役
中路軍作戰
末期清剿
追剿與清剿
湘黔滇追剿
川北追剿徐向前部
川康追剿
追剿徐海東部
西北剿共部署
陜甘晉追剿
追剿方志敏部
贛閩粵清剿
西安事變
中共對東北軍的宣傳戰
西安事變爆發
國民政府之對策
西安事變結束與善後處置
抗戰期間的國共合作與衝突
國共合作
共赴國難宣言發表
共軍之收編
黃橋戰役與曹甸戰役
抗戰後的蘇北態勢
黃橋戰役之經過
曹甸戰役前國軍之佈署
曹甸戰役之經過
新四軍事件
新四軍之源起
新四軍之整編
新四軍事件前之態勢
新四軍事件之經過
新四軍軍官之口供
新四軍事件後續處理
國軍對新四軍事件之檢討
抗戰勝利後的國共會談
重慶會談
重慶會談之舉行
政府與中共代表會談紀要
抗戰勝利後中共之宣傳
國民政府對於共軍之宣傳
馬歇爾調處及軍事三人小組
馬歇爾調處與軍事三人小組的源起
停戰問題之協商
恢復交通之協商
整編及統編之協商
會議前的東北問題
東北停戰與接收之商談
6月6日停戰協定
共軍駐地問題之協商
11月11日停戰令
軍事三人小組之結束
政治協商會議
政治協商會議之源起
政治協商會議之經過
政治協商會議之協議1
政治協商會議之協議2
軍事調處執行部的設立與功能
軍事調處執行部的設立
軍事調處執行部的三方協調模式
停戰命令的頒布
軍事調處
部隊整編
交通調處
軍調部新聞之發布
國民政府之宣傳
中共之宣傳
軍事調處執行部之結束
抗戰勝利後的國共戰爭
國軍綏靖作戰
日本投降後之軍事衝突
停戰命令後之衝突-東北
停戰命令後之衝突-山東
停戰命令後之衝突-江蘇
停戰命令後之衝突-河北
停戰命令後之衝突-河南
停戰命令後之衝突-晉陝
空軍綏靖作戰
海軍綏靖作戰
國民黨中央宣傳部新聞稿
中共的廣播宣傳
國共軍事衝突統計
動員戡亂
戰區視察
剿共宣傳
剿撫邊夷
魯西南地區作戰
膠東作戰
四平街戰役
海軍剿共
平保線作戰
遼瀋會戰
錦州會戰
砬子山之役
塔山之役
彰武、黑山之役
鞍山之役
錦葫附近戰役
錦西寺兒堡戰役
空軍參加遼瀋會戰
葫蘆島撤防戰役
海軍掩護葫蘆島部隊轉進
平津會戰
海軍掩護秦皇島部隊轉進
新保安戰役
張家口戰役
承德通縣間作戰
唐山塘沽間作戰
塘沽戰役
海軍協防塘沽及掩護轉進
天津戰役
北平戰役
徐蚌會戰
碾莊戰役
徐東之役
徐州撤退至蕭永間地區作戰
宿縣外圍攻略戰
雙堆集之役
陳官莊戰役
淞滬保衛戰
瀏河、太倉間作戰
獅子林、月浦、楊行間作戰
浦東、高橋之役
淞滬撤退
東南沿海島嶼戰役
關閉大陸港口政策
大陸沿海水雷佈設
平潭島戰役
廈門戰役
大榭島戰役
金塘島戰役
金門古寧頭戰役
登步島戰役
南澳島戰役
海南撤退
東山島戰役
舟山撤退
大擔戰役
大事年表
教學延伸
實體資源
數位資源
活動探索
轉型正義教育專區
轉型正義教育專區
主題檔案
推廣活動
學習資源
關於我們
查詢
進階搜尋
您的瀏覽器不支援JavaScript語法,JavaScript語法並不影響內容的陳述。您可使用按鍵盤上的Ctrl鍵+(+)鍵放大/(-)鍵縮小來改變字型大小;回到上一頁可使用瀏覽器提供的 Alt+左方向鍵(←)快速鍵功能;列印可使用瀏覽器提供的(Ctrl+P)功能。您的瀏覽器,不支援script語法,若您的瀏覽器無法支援請點選此超連結
:::
首頁
主題瀏覽
民國34年至87年臺灣議會與地方自治發展
地方議會與地方自治
爭取交通建設
各方建議及解答
字
小
中
大
主題
民國34年至87年臺灣議會與地方自治發展
地方議會與地方自治
爭取交通建設
檔號
A315810000M/0078/V2-04-03-04/2/0002/056
案名
各方建議及解答
案由
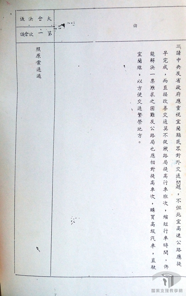
關於宜蘭縣議會提案建議貴公司重視該線對外交通年加開臺北-蘇澳之間之高級直達班車及購買國光號或中興號新車專駛宜蘭縣,以利民行案,請研處見復。
事件年
民國78年(1989)
課綱條目
檔案資源編號
6.5.8-1
來源機關
臺灣省政府交通處
檔案管有機關
國家發展委員會檔案管理局
申請其他國家檔案
請連結
國家檔案資訊網
辦理申請
說明
宜蘭縣地處臺灣東部,受地形影響,交通不便。本件為宜蘭縣議會向臺灣汽車客運公司爭取使用新型巴士並加開班車行駛臺北至宜蘭;臺灣汽車客運公司回復新車即將出廠,將投入行駛宜蘭的路線。
關鍵詞
地方自治
議會政治
關閉燈箱
相關檔案
回頁首