按Enter到主內容區
:::
主題
檔號 A313430000K/0085/942/1
案名 產品展示活動
事件年 民國85年(1996)
課綱條目
檔案資源編號 7.3.8-3
來源機關 臺鹽實業股份有限公司
檔案管有機關 國家發展委員會檔案管理局
申請其他國家檔案 請連結國家檔案資訊網辦理申請
說明

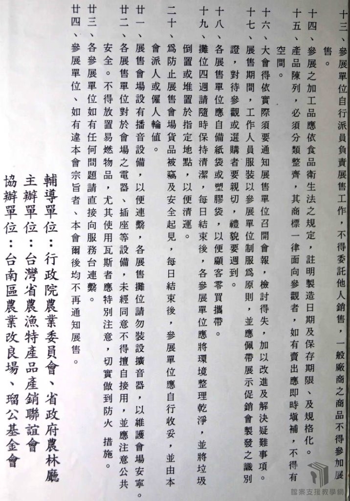
件為臺鹽實業股份有限公司(臺鹽公司)為參加八十五年度(1996)臺灣省農漁特產品產銷聯誼會舉辦之展示促銷活動,而開出的內部通知單。這份文件說明參加展會攤位的租金、尺寸、展售物品規範、食品衛生與一般規定。臺鹽公司以低鈉鹽、沐浴鹽、鹹性牙膏為參展產品。

關鍵詞
相關檔案