按Enter到主內容區
:::
主題
檔號 A315180000M/0063/138/008
案名 鐵公路旅客聯運
事件年 民國63年(1974)
課綱條目 歷 Fb-IV-1 經濟發展與社會轉型
歷 Eb-V-1 臺灣交通的變革與影響
地 Af-IV-1 聚落體系與交通網絡
地 Bd-V-2 運輸與交通
檔案資源編號 8.2.14-1
來源機關 交通部臺灣鐵路管理局
檔案管有機關 國家發展委員會檔案管理局
申請其他國家檔案 請連結國家檔案資訊網辦理申請
說明
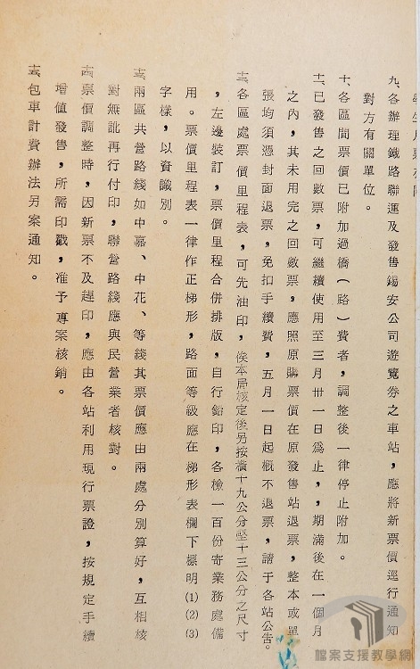
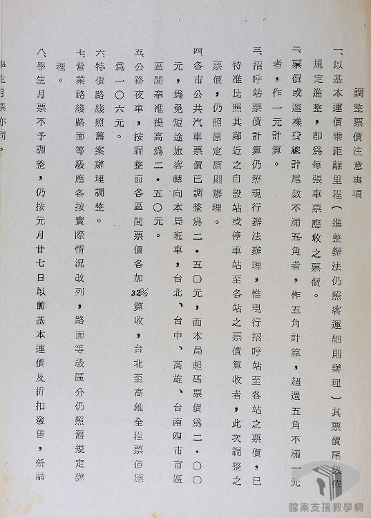
此為臺灣省政府交通處公路局,通知客運業務相關機關與民間團體,調整公路客運運價事宜。公路客運運價係根據路面等級分別計算出來,路面等級區分為:一級路面:瀝青、柏油、混凝土等高級路面。二級路面:平原區及丘陵區碎石路面、丘陵區山嶺區之高級路面。三級路面:山嶺區碎石及碎石不平整之路面。
關鍵詞
相關檔案