按Enter到主內容區
:::
主題
檔號 A329000000G/0052/P-8.7/01
案名 皮革羽毛工業
事件年 民國69年(1980)
課綱條目 歷1b-V-1 連結歷史知識與現今生活,運用歷史知識分析社會現象或變遷
歷1b-V-2 辨識、解釋不同歷史時期的變遷與延續
歷2b-V-1 理解時空背景對歷史事件發展或人物的影響
歷Ca-Ⅴ-1 臺灣歷史上的商貿活動
歷Ib-V-3 區域合作與經貿統合的追求
歷Sb-V-2 能源利用與生活方式的改變
地Ae-Ⅳ-2 臺灣工業發展的特色
地Ae-Ⅳ-3 臺灣的國際貿易與全球關連
地Ae-Ⅳ-4 問題探究:產業活動的挑戰與調適
地Bf-Ⅴ-2 產業分布與區位選擇
地Fb-V-3 產業與商業應用
公Bo-V-5 某產品的市場供給線是如何決定的?
檔案資源編號 9.3.2.3-3
來源機關 行政院經濟建設委員會
檔案管有機關 國家發展委員會檔案管理局
申請其他國家檔案 請連結國家檔案資訊網辦理申請
說明
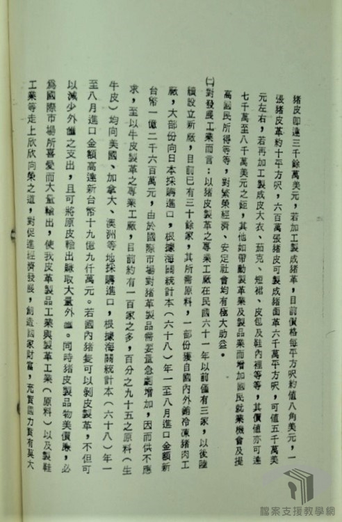
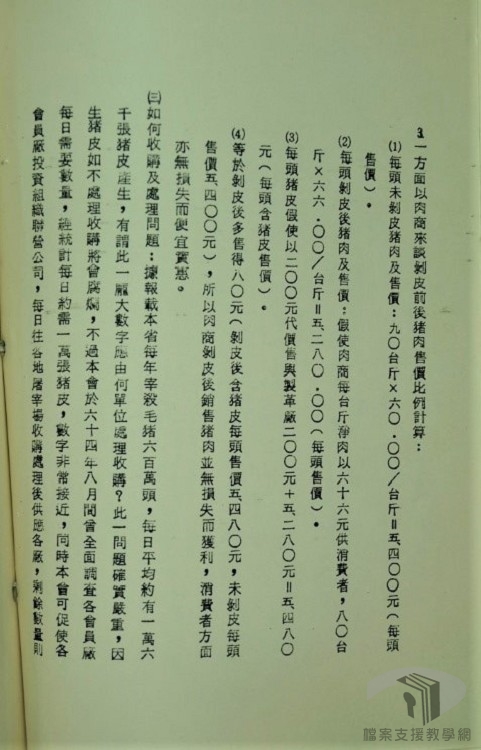
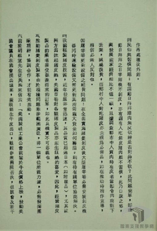
民國69年(1980)臺灣區皮革及皮革製品工業同業公會提出建議案:為發掘國內資源,因應石油危機所造成全球性之經濟景氣衰退,敬請支持國產豬隻剝皮供應內外銷,藉以促進經濟發展。得到內政部指示經建會根據六年經建計畫積極協調有關單位貫徹實施,並指示由桃園民聯公司及高雄電化屠宰場先行試辦。
關鍵詞
相關檔案